Decisiveness and Inclusiveness: Intergovernmental Choice of European Decision Rules(*)
Thomas König and Thomas Bräuninger
European Integration online Papers (EIoP) Vol. 1 (1997) N° 22;
http://eiop.or.at/eiop/texte/1997-022.htm
Date of Publication in EIoP: 4.12.1997
| Abstract | Back to homepage | PDF | PS |

Contents:


1

1. Explaining the Constitutional Change of European Decision Rules

Constitutional events have recently changed the procedural settings for European (EU) cooperation. Since the mid 1980s, treaty reforms like the Single European Act in 1987, the Maastricht Treaty in 1993 and the accession of Portugal and Spain (1986) and of Austria, Finland and Sweden (1995) have brought about continued modification to EU decision rules. Two basic approaches are used to analyze institutional change of EU decision rules: the intergovernmental power index and the spatial model approach. The intergovernmental power index approach concentrates on the impact of accessions by analyzing the distribution of voting weights in the Council of Ministers. When questioning the setting-up of voting weights, voting power studies are primarily concerned with the constitutional choice of rules which is within the competence of the member states' governments. The spatial model approach focuses on the strategic interaction between the Commission, the Council and - in some cases - the European Parliament (EP). Analyzing the procedural settings of European decision making, spatial models focus on the choice within rules. In this paper we argue that both fail to give a satisfactory account for the complexity of the EU institutional framework.

Intergovernmental power index analyses suggest that the configuration of member states' voting weights in the Council of Ministers express the institutional situation in the expanding community (Brams/Affuso 1985, Hosli 1993, Johnston 1995, Widgrén 1994, Lane et al. 1995). Power index studies often apply a variety of indices to measure the impact of alternative settings on member states' relative decisiveness. An important shortcoming of these voting power studies is that they only refer to one property of decision rules, namely the relative difference between actors. If some actors are privileged with higher voting weights or individual veto rights, the relative voting power concept calculates their difference by their relative abilities of being decisive in forming winning coalitions.

Yet, relative voting power studies do not pay attention to the distinction between strong and weak decision rules: In the case of one-by-one voting, simple majority, qualified majority and unanimity rules result in equal voting power shares for all decisive actors. However, weak majority rules increase the power to act of the voting body as a whole, while unanimity restricts policy change to the consent of all actors (Buchanan/Tullock 1962, Coleman 1971). Since majority rules as well as unanimity rule apply to EU legislation the question is why member states facilitate the passing of EU legislation in some policy areas and not in others. The intergovernmental approach on relative decisiveness is therefore not able to provide an account to this question.

The spatial model approach calls the utility of power index analysis of the Council of Ministers fundamentally into question. One argument is that intergovernmental power index studies ignore the strategic interaction between the Council, the Commission and the EP in the passage of EU legislation when they focus on the relative power distribution between member states (Garrett/Tsebelis 1996). Except for Article 148,2b, all EU legislative procedures require a Commission proposal that must be adopted by the member states with unanimity, simple or qualified majority. Under the terms of cooperation procedure (Article 189c) the EP is a conditional agenda setter (Tsebelis 1994). Under codecision procedure (Article 189b) the EP has blocking power (Steunenberg 1994, Schneider 1995), thereby altering the strategic setting. Spatial models illustrate the policy implications of strong and weak decision rules by referring to EU inter-institutional win sets, but voting power analyses report similar findings derived from inter-institutional win sets (König 1995, Laruelle/Widgrén 1997).

Another argument for spatial analysis and against voting power studies is that the latter do not take into account the preference of actors (Garrett/Tsebelis 1997: 11). Theoretically, it is difficult to compare both approaches because they not only address to different questions but they also use different assumptions. While voting power studies mostly rely on simple games distinguishing between (equiprobable) Yes- and No-votes, spatial models assume actors to have distinct preferences. However, claiming that preferences are important variables is not the same as proposing that they are the most important ones. From an empirical point of view, it should be possible to find instances where voting power indices work well and others where spatial models perform better. Like relative voting power studies we are concerned with the constitutional choice of rules and, accordingly, we start with the concept of simple games in order to propose an alternative index. This index provides additional insight into the constitutional choice of rules taking into account the strength of rules.

In this paper, we hope to close this gap by presenting a model of member states' constitutional choice. First, we will try to clarify the distinction between both approaches. We introduce our concept of inclusiveness which generalizes the argument on policy consequences with regard to the choice of decision rules. Whereas decisiveness expresses an actor's relative ability to be decisive on any legislative proposal, the strength of decision rules determines an actor's absolute chances of being incorporated in any collective decision. Since majority rules jeopardize the potential inclusion of an actor's policy preferences, the crucial question is whether a member state accepts the possibility of being in a minority position in future EU legislation.

Second, we argue that the combination of both relative decisiveness and absolute inclusiveness gives an insight into member states' choice of EU institutional rules. Relative decisiveness is understood as reflecting the actors' chances of determining the legislative outcome. As a result, member states provide themselves with shares of votes to get a distribution of legislative gains they have agreed upon. Inclusiveness, however, refers to the extent of EU legislative gains dependent on the strength of the decision rule. Both concepts are related to the member states' expectations of EU legislative gains, determining their constitutional choice of unanimity, qualified majority, simple majority, or single veto players for specific policy areas.

Third, according to spatial model approaches, any measurement of legislative gains must take into account the EU inter-institutional coalition problem between the Commission, the Council, and the EP. The problem of inter-institutional coalition building is defined on EU procedural settings: the standard, the cooperation, and the codecision procedure. In the bicameral standard procedure linking the Commission and the Council, we can distinguish between policy areas with expected low gains and those promising higher profits by asymmetric distribution. Compared to standard bicameralism, the blocking minority rule of Article 148,2b, the only unicameral procedure without a Commission proposal, redistributes the shares between large and small member states. The semi-tricameral cooperation procedure raises the chances of parliamentary actors being included in coalition building, while at the same time providing them with few shares to influence the legislative outcome. The same holds true for the codecision procedure when the member states have higher capacity to determine the outcome.

The remainder of this article is divided into three sections. In section 2 we present our concept of acting entities and the inter-institutional set of winning coalitions. Thereafter, we introduce the indices on relative power and on absolute inclusiveness. Finally, we apply both measures on current EU legislative sets of winning coalitions.


2

2. Acting Entities and Inter-Institutional Sets of Winning Coalitions

The concept of legislative winning coalitions makes up the foundations of the game-theoretical measurement of legislative entities' decisiveness and inclusiveness. Both measures presuppose the identification of relevant actors and their procedural interaction, whereas spatial models try to identify the set of likely policy outcomes depending on the knowledge of actors’ preferences and procedural interaction. In the past, however, parsimonious approaches to EU winning coalitions trivialized EU procedural settings by ignoring inter-institutional interaction, assuming a unitary (parliamentary) actor, or disregarding unequal settings of different shares of votes. Besides putting an end to such parsimony we intend to improve the reliability of our model by explaining in some detail our concept of EU actors and EU procedural interaction.

In game-theoretical analyses, actors are simply defined as entities making choices in a specific context. This definition first presumes the identification of the acting entities and then considers the qualification of goal specificity, independence and consistence for their actions. In the field of power index analysis the primary task of actually identifying the relevant legislative entities is a well-known problem. "Paradoxes" like the paradox of quarreling members, of new members and of size (Brams 1975) or the paradox of redistribution (Fischer/Schotter 1978) illustrate some of the crucial effects on relative decisiveness when either the set of entities, or the entities themselves, are modified. In international relation theory the unitary actor assumption on state behavior is an illustrative example for the identification problem of acting entities (Achen 1995).

To avoid identification problems we begin our analysis by distinguishing between three types of legislative entities: individuals (natural persons), corporate actors (organizations with delegates as their agents), and collective actors (voting bodies). Like a natural person, a corporate actor is often considered to be a unitary entity having well-behaved preferences over outcomes and acting on purpose. Hence, there is no difference between individual and corporate actors if we ignore the controlling problem of delegates. In contrast to individual and corporate actors, collective actors are analysed as aggregates of individuals and/or corporate actors. The aggregation problem of individual and/or corporate actors is the topic of social choice theory, showing the unitary actor assumption on collective actors to rarely apply in cases of two or more dimensions (McKelvey 1979, Koehler 1990).

In EU legislation all three types of actors are relevant. Commission, Council and EP are voting bodies aggregating different sets of legislative entities. The Commission prepares proposals on which most of EU legislative decisions are based. In principle, the Commission is a college of twenty Commissioners each responsible for his or her General Directorate. Each Commissioner is provided with his or her own portfolio, carries the main leadership responsibility, and is independent of the Commission President in determining how to act on EU legislative decisions. We therefore conceptualize the Commission as a unitary actor in EU legislation with the responsible Commissioner as its agent (see also Spence 1994, Westlake 1994).

In the Council, the governments of the member states are represented by delegates mediating between their own governments and those of other delegates (Johnston 1994). National governments instruct their delegates, who then cast their votes homogeneously in the Council. Since we ignore the controlling problem of delegation, we conceptualize the national delegate as an entity voting for its member state. Regarding the member states' votes we can distinguish between equal and unequal settings. In the case of the EU qualified majority rule with 71,2% threshold, voting weights differ between large and smaller member states, thus providing for unequal settings. Against this, equal settings are provided for by the simple majority criterion and unanimity where member states are counted one-by-one. Member states' votes are then aggregated in the Council, a collective actor facing other voting bodies in the course of EU legislative decision making.

Although the EP is seldom involved in EU legislative decision making, the disaggregation of the EP's entities causes further conceptual difficulties. Apart from different combinations of formal institutional settings, parliamentary systems differ in terms of specific peculiarities characteristic of a particular legislature. A specific characteristic of the EP is the affiliation of parliamentary representatives to both political groups and national groups. The fact that the vote of EP representatives on national group affiliation is merely a repetition of the intergovernmental coalition problem in the Council, means that it is the political group affiliation that points out the unique contribution of parliamentary participation in EU legislation. We model political groups therefore as EP entities with votes weighted according to their party representatives on the grounds that party cleavage is observed to dominate over national cleavage in the formation of majority coalitions (Jacobs et al. 1992, Attina 1990). Since no political group has an absolute majority at its disposal, political group votes are, by necessity, aggregated in the EP when it participates in EU legislation.


3

Apart from the concept of legislative entities, the procedural settings of EU legislation also define inter-institutional sets of winning coalitions, consisting of all entities necessary to adopt a proposal. However, identifying EU legislative sets of winning coalitions is made rather complicated for two reasons: First, the Council's and the EP's decision rules vary, and second, the role of the Commission is rather speculative. According to Article 155, the Commission holds the exclusive right to initiate legislation and the right to modify a proposal at any point of procedure (Article 189a,2), thereby making the Commission the agenda setter. Moreover, the Commission also has the right to withdraw, if the proposal’s object is felt to emasculated by amendments (Usher 1994). The Commission cannot, therefore, be excluded from the set of all relevant legislative entities (for a counterargument, see Tsebelis/Garrett 1996). Although we use constitutional provisions for defining the inter-institutional linkage we often have to make further decisions on the role of voting bodies.

The varying decision rules in the Council and the EP reveal different levels of EU legislation which, taken together, can be conceptualized as a legislative game. We can distinguish between three levels: the basic game, the subgame, and the compound game. The basic game level refers to the prime entities such as individuals or national party delegations which have to form the political groups in the EP. On the subgame level, the internal coalition problem between either the member states in the Council or the parliamentary political groups in the EP has to be solved. To be more specific, except for constitutional unanimity, the Council subgame offers two voting criteria, since, even in the case of majority voting, amendments always require unanimity among member states. Under the cooperation and codecision procedures, the EP may take action or no action. Preventing endorsement by no action slightly decreases the majority criterion, since the EP has always been a voting body consisting of an equal number of representatives. Finally, the compound game requires inter-institutional consent between the Commission, the Council and - in some cases - the EP.

EU legislative sets of winning coalitions require consent among all relevant voting bodies and thus depend on the solution of the coalition problems at the subgame level. The set of winning coalitions of the standard procedure requires the consent of the Commission and of the Council referring to unanimity, simple or qualified majority subgames of member states. As the cooperation procedure includes the EP in EU legislation, an additional legislative set of winning coalitions is introduced: the first set encompasses the Commission and the unanimous member states, the second consists of the Commission, more than 62 Council votes and at least half of the parliamentary votes. The latter set of winning coalitions is also feasible under codecision procedure, but here the additional set combines the unanimous member states with at least the absolute majority of parliamentary votes. Hence, under codecision procedure the EP holds the position of the Commission under cooperation procedure. In this respect, both combinations of two sets of winning coalitions install a semi-tricameral system: either the EP or the Commission can be excluded from EU legislation.

Legislative sets of winning coalitions represent the cornerstone of our analysis of the EU legislative entities' decisiveness and inclusiveness. With regard to the fact that the member states establish different legislative sets by introducing different procedures for EU policy areas, we investigate the reasons for member states making the choices for specific institutional settings as they do. We take into account the findings of spatial models on the importance of actors’ policy preferences by means of our inclusiveness index. In addition, we apply the relative decisiveness concept to the inter-institutional sets of winning coalitions in EU legislation. In the following section we argue that member states take into account the effects on both their decisiveness and inclusiveness when they introduce or change the procedural settings for EU policy areas.

3. Decisiveness and Inclusiveness in European Legislation

The bicameral setting of the standard procedure between the Commission and the Council and the semi-tricameral participation of the EP under cooperation and of the Commission under codecision procedure suggest that member states try to reach different goals by Treaty reforms, such as reducing EU transaction costs or decreasing the so-called democratic deficit (see Wessels 1991, Ludlow 1991). In the past, the Commission was given functions of legislative agenda setting and safeguarding, and the EP was given rights in EU legislation. However, since the member states are the signatories of the EU constitution, their expected gains are the driving force behind the material integration of policy domains and the constitutional choice of different procedures. Thus by focusing solely on the impact on qualified majority rule in the Council, many intergovernmental analyses are unable to explain the reasons for institutional delegation.


4

This shortcoming is best illustrated by some of the partly striking, then again partly insufficient conclusions drawn by such analyses. The most prominent result was the discovery of the "dummy player-position" of Luxembourg having no relative power during the first EU Treaty era under qualified majority rule (Brams 1976). Second to this, Council power index analysis recently claimed to have "uncovered" the unfavorable British attitude towards the blocking minority rule as the increase from 23 to 26 minimum votes reduces the British power share (Johnston 1995). Others argue that, due to the accession of new members, the relative decisiveness differences between unanimity and majority decision rules become less and less pronounced (Lane et al. 1995). Such striking results of Council power index studies prompt the question of whether the relative power among the member states is sufficiently able to explain the intergovernmental choice of EU decision rules (Garret et al. 1995).

Indices on relative decisiveness are calculated using the concept of simple games with two properties: first, simple games differentiate between winning and losing coalitions; and, second, they satisfy monotonicity assuming the continuance of a winning coalition in cases of additional members. In the case of simple games, indices of relative decisiveness are single valued solution concepts on pivotal entities. Being pivotal is a relative resource referring to the entities' probability of realizing their preference in the collective outcome. With this in mind, the simple demand made of constitutional politics is to provide for either equal or unequal legislative entities.

We argue that the constitutional choice of EU voting rules depends on the expected gains from potential legislation rather than the representative size of the member states' population, which may only serve as a parameter. Accordingly, the unification of Germany had no effect on the distribution of voting weights. Rather, the signatories' central motive was to improve the expected gains from future cooperation based on their expected profits minus their expected costs of potential EU legislation. Signatories decrease the threshold when all incumbents expect higher gains from future majority legislation. If member states expect to be affected similarly by future legislation in EU policy areas, equal settings will provide for a symmetrical distribution of expected gains. In contrast, unequal settings can balance an expected asymmetric distribution of EU legislative gains among the member states.

The expectation of unfavorable distributions of legislative benefits raises the question of how to balance potential EU legislative gains. Voting weights, minority blocking rules, veto player positions or multi-cameralism with different subgames are all methods of establishing unequal settings for legislative entities. Despite their procedural variety, all these methods may differentiate between the entities' relative ability of being decisive on any EU legislative proposal. Relative power index analysis is widely used, but an application on EU inter-institutional sets of winning coalitions makes severe demands on the method of measurement. Compared to unicameral analysis, the normalization over all entities must appropriately reflect the conditions for the different levels, the basic games, the subgames and the inter-institutional compound game (König/Bräuninger 1996). Taking this into consideration, the most applicable concepts for the analysis of the relative decisiveness of entities in inter-institutional sets of winning coalitions are arguably the normalized Banzhaf and the Shapley-Shubik index (Nurmi 1987).

Although both indices have certain theoretical parallels, they differ with respect to their conceptions of critical defections. An entity's relative contribution to transforming a winning into a losing coalition determines the relative Banzhaf power (Banzhaf 1965). Since the Banzhaf index takes into account several critical positions in one single winning coalition, the additivity of critical positions has to be called into question, in particular for inter-institutional sets of winning coalition (Dubey/Shapley 1979). To tackle this, the normalized index refers to an entity's probability of being critical in relation to the number of all critical defections. As a result, highly vulnerable minimal winning coalitions become more important for the power calculation than those that are only made vulnerable by a few members. Consequently, different membership sizes of subgames may already distort the inter-institutional relationship of Banzhaf decisiveness (Shelley 1986).


5

The Shapley-Shubik index refers to all possible voting sequences and checks how often each entity is able to transform a losing into a winning coalition (Shapley/Shubik 1954). An entity's decisiveness is defined as the probability of being pivotal, i.e. decisive in one of all equal probable voting sequences. Based on this concept, the individual Shapley-Shubik shares, fi, may be summed up for each subgame and compared on the level of the compound game. Since almost all EU legislation is adopted under multi-cameral procedures, we apply the Shapley-Shubik index to measure individual decisiveness.

We regard the relative decisiveness as being a major aspect of the signatories' constitutional choice. Similarly, we consider the signatories' choice of the strength of a decision-making rule as being the second major aspect of EU institutional integration because it influences the likely policy outcomes that will ensue. Weak decision rules, like simple majority, increase the likelihood of policy outcomes offering the exclusion of entities from the EU legislative set of winning coalitions, whereas the strongest decision rule of unanimity guarantees the inclusion of all actors, resulting in a strong status quo bias of single favorable winning coalitions. Here, the member states' choice of the lowest common denominator is based on the expected low extent of EU legislative gains, resulting from an expectation of either low profits or high costs of potential EU legislation. Member states only expose themselves to the danger of exclusion if they expect higher profits from potential EU legislation, whereas a member state prefers unanimity in cases of expected low legislative gains.

The strength of a decision rule refers to the entities' chances of being included in any potential collective decision. Since the member states bargain on potential legislation, we assume Yes- and No-votes to have the same probability and, therefore, all feasible coalitions to be equiprobable. In a simple game the probability of an entity's inclusion varies between 0.5 and 1.0. Strong decision rules guarantee the inclusion of an entity's preferences in the collective decision, whereas a dummy player's probability of being included is still 0.5.

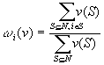
Assuming v to be a simple game, where v(S)=1 if S is winning, we define the inclusiveness index w of actor i in the game v as

,

i.e. i's number of participations in winning coalitions in relation to the number of all feasible winning coalitions (Bräuninger 1996). However, neither the relative nor the absolute aspect of expected legislative gains solely explain the choice of decision rules. We argue that institutional settings are instruments that can be used to obtain similar legislative gains for member states. Regarding the extent of expected legislative gains, majority rules and unanimity are instruments used in the case of equal settings, whereas the degree of inequality varies by voting weights or single veto player positions. Thus, only the combination of both aspects, the (in-)equality and the strength, offers a satisfactory account for the member states' choice of EU decision rules.

Figure 1

Figure 1 combines the instruments measured by relative decisiveness f and absolute inclusiveness w of member states. For the explanation of specific constitutional choices, we take into account the two aspects of member states' expectations of potential EU legislation, namely the expectation of the extent and the distribution of potential EU legislative gains. As mentioned above, the expected extent of legislative gains determines the choice of the strength of decision rules, but the expected distribution results in equal or unequal settings. The member states' expectations of a low extent by symmetric distribution of EU legislative gains favors the setting of unanimity, whereas a higher extent by symmetric distribution results in unweighted majority voting. Member states may also agree on single veto player positions when they expect a low extent but an asymmetric distribution of EU legislative gains. Finally, weighted votes may be introduced in the case of a high expected extent by asymmetric distribution.


6

Although our scheme pays sufficient attention to the member states' expectations of potential EU legislation, the question of the participation of supranational entities such as the Commission and the EP still remains. Introducing the factor of interaction between the Council, the Commission and the EP, spatial models assume extreme policy positions of supranational entities when they determine the different procedural win sets. Under this assumption, the participation of the Commission and the EP decreases the potential for policy change in EU legislation, prompting the question as to why member states should accept the restriction of their own legislative capacity. Leaving aside the assumption of extreme policy positions of supranational entities, we argue that the Commission and the EP may increase the expected profits of the member states by promising to reduce transaction costs and criticism of the democratic deficit. Since different procedures exist for EU legislation, the application of decisiveness and inclusiveness provides an insight into the member states' expectations of different policy areas.

4. Member States' Expectations of Policy Area Legislation

The consequences of different provisions for the Commission, the member states and the political groups in the EP are listed in Table 1. For the reasons discussed we measure relative decisiveness by means of the Shapley-Shubik index f and absolute inclusiveness by means of our index w defined above. In the rows of Table 1 we list the entities grouped along EU chambers. The columns refer to four procedures and three different rules which may be applied to the standard procedure. Each of the six procedural settings has distinct effects on the entities’ decisiveness and inclusiveness.

Table 1

Under standard procedure, we find equal and unequal settings with varying thresholds. Decisiveness f does not differentiate between the member states either in the case of unanimity or simple majority, but their inclusiveness w reveals the highest difference. Unanimity guarantees the inclusion of all member states' policy preferences indicated by their maximal inclusiveness of 1.0. In the case of simple majority, however, the danger of being excluded is very high and the entities' absolute inclusiveness w approaches the dummy player's inclusion probability of 0.5. Under qualified majority in standard, Article 148,2b, cooperation and codecision procedure the inclusion probability w of the four large member states is 86% and 85% respectively, while Luxembourg's inclusiveness w varies between 57% and 61%. The relative decisiveness of large member states is also higher here than in cases of equal settings. Qualified majority thus stresses the differences between the member states with regard to relative decisiveness and absolute inclusiveness.

Concerning the inter-institutional interaction in the standard procedure, the EP is a dummy player and can be excluded from building any feasible winning coalition. Hence, its policy preference are included only by luck. The feature of the bicameral setting is illustrated by the Commission’s inclusiveness w and decisiveness f. Under standard procedure the Commission’s policy preference must be included in any legislative proposal, but its ability of being decisive varies widely. The Commission is an equal counterpart to all member states in cases of simple majority voting, but its decisiveness f decreases from majority voting to unanimity. Hence, if the member states take a unanimous decision, the Commission has the lowest share of relative power. Qualified majority discriminates between the member states, and the additional provision for a minority rule (Article 148,2b) - the only unicameral procedure - not only favors the smaller member states’ relative decisiveness f but also increases their absolute inclusiveness w. Except for the unicameral procedure of Article 148,2b, the Commission's policy preferences are included in all EU legislation.

Compared to qualified majority under standard procedure, the cooperation and codecision procedures have little effect on member states' inclusiveness w. Only their decisiveness f is modified as a result of the participation of the EP. However, the parliamentary entities' probability of being included in potential EU legislation increases substantially. Introducing the EP as a third collective actor is thus an instrument geared towards involving the socio-economic cleavage in EU legislation without increasing the member states' probability of having their preferences disregarded. Comparing the cooperation and the codecision procedure, the latter strengthens the decisive role of the Council in particular.


7

Finally, our combination of relative decisiveness f and absolute inclusiveness w gives a satisfactory account for the member states' choice of institutional settings when they expect legislative gains from potential EU legislation. Although the participation of supranational entities, such as the Commission or the EP, may promise higher gains, the member states' expectation of potential EU legislative costs prohibits the material integration of further policy areas. Material integration is thus a function of the expected effects of institutional settings.

Table 2

A first indicator for the importance of procedural settings is their selective application to EU policy areas. EU decision rules not only vary in the degree of inclusiveness and decisiveness. Moreover, the provisions for EU legislation have been changed quite differently and discriminate even within policy areas. Table 2 lists the proportion of procedural settings for all EU policy areas introduced by the original Treaty in 1958, the Single European Act in 1987 and the Maastricht Treaty in 1993. Besides the areas of association, institutional and final provisions, agricultural and trade policies are excepted from constitutional modifications. The latter are dominated by the provision of qualified majority rules under standard procedure. According to our two aspects of constitutional choice, member states always expected an asymmetric distribution of high amounts of EU legislative gains that are increased by the Commission’s role in reducing transaction costs. For agricultural and trade policies, both characterized by the highest number of (adopted) EU proposals (König 1996), member states have abstained from reducing of the democratic deficit by excluding the EP.

In comparison, many modifications have been made in the areas of free movement, traffic, common rules and social policy which encompass the participation of the EP. The introduction of the cooperation procedure has also contributed to the reduction of the proportion of qualified and unanimous provisions. We observe a similar pattern for the introduction of the codecision procedure. Except for environmental policies, the codecision procedure has replaced the former provision for the cooperation procedure. Again, the recent introduction of industry policy does not promise high EU legislative gains which paves the way for weaker decision rules, whereas other areas introduced by the Maastricht Treaty provide for qualified majorities. In sum, different procedures and different decision rules regulate most EU policy areas. Our findings show a tendency towards weighted qualified majority voting in the Council either by modifications to the standard procedure or by the introduction of the cooperation and codecision procedures. Despite this overall tendency, the member states increased the proportion of unanimous decision rules in some policy areas, namely in the areas of the common rules and economic and social cohesion.

Looking beyond the scope of the analysis here, the Maastricht Treaty has brought about a new pattern of EU institutional integration. This new form of integration describes the move to selective expectations of potential legislative costs. It can be observed in the recent trend of including provisions for „opt-out“ clauses as often favored by either the United Kingdom or Denmark. The tendency towards this new pattern of selective EU integration has been reinforced in the provisions laid down for Monetary Union, as illustrated by the current debate on the economic criteria for membership.


References

Achen, Christopher H. (1995): How Can We Tell a Unitary Rational Actor when We See One? Chicago: Paper prepared for presentation at the annual meeting of the Midwest Political Science Association.

Attina, Fulvio (1990): "The Voting Behavior of the European Parliament Members and the Problem of Europarties". European Journal of Political Research 5: 557-79.

Banzhaf, John F. (1965): "Weighted Voting Doesn't Work: A Mathematical Analysis". Rutgers Law Review 19: 317-43.

Brams, Steven J. (1975): Game Theory and Politics. New York: Free Press.

Brams, Steven J. (1976): Paradoxes in Politics. New York: Free Press.

Brams, Steven J. and Paul Affuso (1985): "New Paradoxes of Voting Power on the EC Council of Ministers". Electoral Studies 4: 135-9.

Bräuninger, Thomas (1996): Die Modellierung von Entscheidungsverfahren internationaler Organisationen am Beispiel der Meeresbodenbehörde. Teilnahme-, Mitwirkungs- und Durchsetzungschancen in einem institutionalisierten Regime. Mannheim: Zulassungsarbeit.

Buchanan, James M. and Gordon Tullock (1962): The Calculus of Consent: Logical Foundations of Constitutional Democracy. Ann Arbor: University of Michigan Press.

Coleman, James S. (1971): Control of Collectivities and the Power of a Collectivity to Act, in: Bernhardt Lieberman (eds), Social Choice. New York: Gordon and Breach: 269-99.

Dubey, Pradeep and Lloyd S. Shapley (1979): "Mathematical Properties of the Banzhaf Power Index". Mathematics of Operations Research 4: 99-131.

Fischer, Dietrich and Andrew Schotter (1978): "The Inevitability of the Paradox of Redistribution in the Allocation of Voting Weights". Public Choice 33: 49-67.

Garrett, Geoffrey and George Tsebelis (1996): "An Institutional Critique of Intergovernmentalism". International Organization 50: 269-99.

Garrett, Geoffrey, Iain McLean, and Moshé Machover (1995): "Power, Power Indices and Blocking Power: A Comment on Johnston". British Journal of Political Science 25: 563-68.

Hosli, Madeleine O. (1993): "Admission of European Free Trade Association States to the European Community: Effects on Voting Power in the European Community Council of Ministers". International Organization 47: 629-43.

Jacobs, Francis, Richard Corbett, and Michael Shackleton (1992): The European Parliament. London: Longman.

Johnston, Mary (1994): The European Council. Oxford: Westview.

Johnston, Ronald J. (1995): "The Conflict over Qualified Majority Voting in the European Union Council of Ministers: An Analysis of the UK Negotiating Stance Using Power Indices". British Journal of Political Science 25: 245-88.

Koehler, David H. (1990): "The Size of the Yolk: Computations of Odd and Even-Numbered Committees". Social Choice and Welfare 7: 231-45.

König, Thomas (1995): From Intergovernmentalism to Party Politics? An Institutional Power Analysis of European Multi-Chamber Legislation from 1958 to 1995. Mannheim: MZES Working paper ABII/11.

König, Thomas (1996): Freiwilligkeit und Zwang in internationalen Verhandlungen. Eine Modellierung von Kooperation und Konflikt an den Beispielen der Europäischen Union und der Antarktiskonferenz. Mannheim: Habilitationsschrift.

König, Thomas (1997): Europa auf dem Weg zum Mehrheitssystem? Gründe und Konsequenzen nationaler und parlamentarischer Integration. Opladen: Westdeutscher Verlag.

König, Thomas and Thomas Bräuninger (1996): "Power and Political Coordination in America and German Multi-chamber Legislation". Journal of Theoretical Politics 8: 331-60.

Lane, Jan-Erik, Reinert Mæland, and Sven Berg (1995): "The EU Parliament: Seats, States and Political Parties". Journal of Theoretical Politics 7: 395-400.

Laruelle, Annick and Mika Widgrén (1997): Voting Power in a Sequence of Cooperative Games: The Case of the EU Procedures. Paper presented at the American Political Science Association Meeting, Washington DC.

Ludlow, Peter (1991): The European Commission, in: Robert O. Keohane and Stanley Hoffman (eds), The New European Community: Decisionmaking and Institutional Change. Boulder, Col.: Westview: 85-132.

McKelvey, Robert (1979): "General Conditions for Global Intransitivities in Formal Voting Models". Econometrica 47: 1085-112.

Nurmi, Hannu (1987): Comparing Voting Systems. Dordrecht: Reidel Publishing.

Schneider, Gerald (1995): "The Limits of Self-Reform: Institution-Building in the European Union". European Journal of International Relations 1: 59-86.

Shapley, Lloyd S. and Martin Shubik (1954): "A Method for Evaluating the Distribution of Power in a Committee System". American Political Science Review 48: 787-92.

Shelley, Fred M. (1986): "Voting Power in Municipal Annexation Elections". Quality and Quantity 120: 257-60.

Spence, David (1994): Structure, Functions and Procedures in the Commission, in: Geoffrey Edwards and David Spence (eds), The European Commission. Essex: Longman: 92-116.

Steunenberg, Bernard (1994): "Decision Making Under Different Institutional Arrangements: Legislation by the European Community". Journal of Institutional and Theoretical Economics 150: 642-69.

Tsebelis, George (1994): "The Power of the European Parliament as a Conditional Agenda Setter". American Political Science Review 88: 128-42.

Tsebelis, George and Geoffrey Garrett (1996): "Agenda Setting Power, Power Indices and Decision Making in the European Union". International Review of Law and Economics 16: 345-61.

Tsebelis, George and Geoffrey Garrett (1997): Why Power Indices Cannot Explain Decision-making in the European Union, in: Dieter Schmidtchen and Robert Cooter (eds), Con-stitutional Law and Economics of the European Union. Cheltenham: Edward Elgar: 11-31.

Usher, John (1994): The Commission and the Law, in: Geoffrey Edwards and David Spence (eds), The European Commission. Essex: Longman: 146-68.

Wessels, Wolfgang (1991): The EC Council: The Community's Decisionmaking Center, in: Robert O. Keohane and Stanley Hoffman (eds), The New European Community: Decisionmaking and Institutional Change. Boulder, Col.: Westview: 133-54.

Westlake, Martin (1994): The Commission and the Parliament. London: Butterworths.

Widgrén, Mika (1994): "Voting Power in the EC Decision-Making and the Consequences of Two Different Enlargements". European Economic Review 38: 1153-70.


(*) The authors will provide a programme to calculate absolute and relative power in multi-chamber systems with weighted/unweighted votes free of charge: http://www.mzes.uni-mannheim.de/arb2/pow.html.


©1997 by König/Bräuninger
formated and tagged by MN, 3.12.1997